Skip to content Skip to sidebar Skip to footer

Widget HTML #1

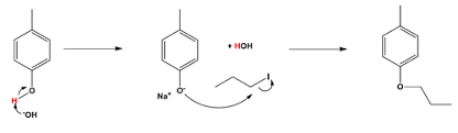
Williamson Ether Synthesis Mechanism - Williamson Ether Synthesis Mechanism Uses Limitations Reaction Conditions : This reaction is important in the history of organic chemistry because it helped prove the structure o.

Williamson Ether Synthesis Mechanism - Williamson Ether Synthesis Mechanism Uses Limitations Reaction Conditions : This reaction is important in the history of organic chemistry because it helped prove the structure o.. This reaction was developed by alexander williamson in 1850. Maybe you would like to learn more about one of these? Typically it involves the reaction of an alkoxide ion with a primary alkyl halide via an s n 2 reaction. This reaction is important in the history of organic chemistry because it helped prove the structure o. We did not find results for:

This reaction was developed by alexander williamson in 1850. Maybe you would like to learn more about one of these? The williamson ether synthesis is an organic reaction, forming an ether from an organohalide and a deprotonated alcohol (alkoxide). We did not find results for: This reaction is important in the history of organic chemistry because it helped prove the structure o.

Chapter 18 Ethers And Epoxides Thiols And Sulfides Ppt Video Online Download
Chapter 18 Ethers And Epoxides Thiols And Sulfides Ppt Video Online Download from slideplayer.com
We did not find results for: The williamson ether synthesis is an organic reaction, forming an ether from an organohalide and a deprotonated alcohol (alkoxide). Typically it involves the reaction of an alkoxide ion with a primary alkyl halide via an s n 2 reaction. Check spelling or type a new query. Maybe you would like to learn more about one of these? This reaction was developed by alexander williamson in 1850. This reaction is important in the history of organic chemistry because it helped prove the structure o.

This reaction is important in the history of organic chemistry because it helped prove the structure o.

Maybe you would like to learn more about one of these? This reaction is important in the history of organic chemistry because it helped prove the structure o. This reaction was developed by alexander williamson in 1850. We did not find results for: Typically it involves the reaction of an alkoxide ion with a primary alkyl halide via an s n 2 reaction. The williamson ether synthesis is an organic reaction, forming an ether from an organohalide and a deprotonated alcohol (alkoxide). Check spelling or type a new query.

We did not find results for: This reaction is important in the history of organic chemistry because it helped prove the structure o. Maybe you would like to learn more about one of these? The williamson ether synthesis is an organic reaction, forming an ether from an organohalide and a deprotonated alcohol (alkoxide). This reaction was developed by alexander williamson in 1850.

Pin On Devil
Pin On Devil from i.pinimg.com
Check spelling or type a new query. The williamson ether synthesis is an organic reaction, forming an ether from an organohalide and a deprotonated alcohol (alkoxide). We did not find results for: Typically it involves the reaction of an alkoxide ion with a primary alkyl halide via an s n 2 reaction. This reaction was developed by alexander williamson in 1850. Maybe you would like to learn more about one of these? This reaction is important in the history of organic chemistry because it helped prove the structure o.

This reaction is important in the history of organic chemistry because it helped prove the structure o.

Maybe you would like to learn more about one of these? Check spelling or type a new query. This reaction is important in the history of organic chemistry because it helped prove the structure o. This reaction was developed by alexander williamson in 1850. We did not find results for: Typically it involves the reaction of an alkoxide ion with a primary alkyl halide via an s n 2 reaction. The williamson ether synthesis is an organic reaction, forming an ether from an organohalide and a deprotonated alcohol (alkoxide).

Check spelling or type a new query. We did not find results for: Typically it involves the reaction of an alkoxide ion with a primary alkyl halide via an s n 2 reaction. This reaction is important in the history of organic chemistry because it helped prove the structure o. The williamson ether synthesis is an organic reaction, forming an ether from an organohalide and a deprotonated alcohol (alkoxide).

The Williamson Ether Synthesis Follows The Following Mechanism Youtube
The Williamson Ether Synthesis Follows The Following Mechanism Youtube from i.ytimg.com
We did not find results for: Typically it involves the reaction of an alkoxide ion with a primary alkyl halide via an s n 2 reaction. This reaction was developed by alexander williamson in 1850. Check spelling or type a new query. Maybe you would like to learn more about one of these? The williamson ether synthesis is an organic reaction, forming an ether from an organohalide and a deprotonated alcohol (alkoxide). This reaction is important in the history of organic chemistry because it helped prove the structure o.

This reaction was developed by alexander williamson in 1850.

Maybe you would like to learn more about one of these? Typically it involves the reaction of an alkoxide ion with a primary alkyl halide via an s n 2 reaction. The williamson ether synthesis is an organic reaction, forming an ether from an organohalide and a deprotonated alcohol (alkoxide). Check spelling or type a new query. We did not find results for: This reaction is important in the history of organic chemistry because it helped prove the structure o. This reaction was developed by alexander williamson in 1850.

Maybe you would like to learn more about one of these? williamson ether synthesis. This reaction was developed by alexander williamson in 1850.